納米氣凝膠氈在蒸汽直埋保溫管中的應用分析
摘 要: 將納米氣凝膠氈應用到蒸汽直埋保溫管中, 不僅可以減少熱損失, 提高蒸汽管道傳輸效率, 而且還可以減少總投資成本。文中分析了納米氣凝膠氈使用量對總投資的影響, 為蒸汽直埋保溫管的快速發展指明了方向。
蒸汽管道直埋敷設技術是在架空敷設與地溝敷設基礎上發展起來的一種新的管道敷設方式。一般采用鋼套鋼結構中間敷設保溫層, 將此高溫蒸汽管道直埋敷設。該技術應用在熱電聯產、集中供熱領域具有不影響市容、占地面積小和環境污染小等優點。但就目前而言, 該技術還不夠完善, 原因是蒸汽管直埋技術投資費用高 (是同等條件下架空敷設的兩倍) 、保溫及防腐措施不夠成熟。直埋管常用的保溫材料為巖棉、硅酸鈣、硅酸鋁、玻璃棉等, 這些材料本身過于松軟, 長期作用于管道會隨著管道振動而滑落, 造成工作管頂部60o范圍內保溫層變薄, 大量熱量從此處散失。另外, 在工程實際應用中外套管在溫度應力作用下會發生開裂, 進水非常普遍, 致使內部保溫材料吸水喪失保溫性能[3]。因此, 尋找一種新型保溫材料顯得尤為重要。納米氣凝膠氈是一種整體疏水性保溫材料, 長期可耐800℃高溫, 常溫下導熱系數為0.018 W/ (m·k) (是同等溫度條件下硅酸鋁的一半) , 但由于其高額的成本, 僅在國內一些架空項目中有小范圍應用。鑒于蒸汽直埋保溫技術的特殊復雜性, 決定用納米氣凝膠氈代替傳統硅酸鋁針刺毯應用在蒸汽直埋保溫管中, 研究其對節能量及工程總投資的影響。
1 節能分析
1.1 熱損失計算原理
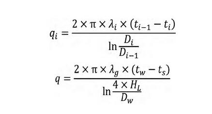
直埋保溫管熱損失計算原理:

式中, q為單位長度熱損失, W/m;qi為通過第i層保溫材料單位長度的熱損失, W/m;λi為第i層保溫材料在平均溫度下的導熱系數, W/ (m·k) ;λg為當量埋深處土壤的導熱系數, W/ (m·k) ;ti為第i層材料外表面溫度, ℃;ti-1為第i-1層材料外表面溫度, ℃;tw為保溫管外表面溫度, ℃;ts為管中心深處土壤溫度, ℃;Di為第i層材料保溫外徑, m;Di-1為第i-1層材料保溫外徑, m;Dw為較外層保溫層外徑, m;HL為管道當量埋深, m;當;H為管中心埋深, m;H=較小覆土深度+0.5 Dw。
1.2 熱損失計算
計算的蒸汽溫度為350℃, 管道選用DN250管, 滿足管道表面溫度小于50℃, 滿足兩種保溫材料層間溫度≤280℃ (規范規定[5]:玻璃棉較高溫度為350℃, 這里取0.8的安全系數) 。根據CJJ/T104-2014《城鎮供熱直埋蒸汽管道技術規程》中對不同管徑下較小覆土深度要求, 蒸汽管中心深處土壤溫度取為10℃, 土壤導熱系數為1.5 W/ (m·k) 。計算保溫厚度及熱損失量。方案1:硅酸鋁+玻璃棉;方案2:納米氣凝膠氈+玻璃棉。保溫厚度及熱損失量見表1。
表1 保溫厚度及熱損失量

1.3 節能量分析
DN250的蒸汽管道常年運行, 若年運行時間按8 000 h計算, 則改造后每公里的節能量q為: (165.13-135.38) W/m·k×1 000×8 000 h×3 600=857 GJ/a, 即:每年可以節約857 GJ的能量。按照燃燒每公斤標煤可釋放29 271 000 J能量計算, 每年可節約標煤8.57×1 011 J÷29 271 000 J÷1 000=29.26 t/a。
按照每噸標煤700元的價格, 每年可節約29.26 t/a×700/10 000=2.048萬元。
根據國家發改委有關火力發電廠耗煤數據:每燃燒1kg標準煤, 產生CO2為2.62 kg, SO2為0.08 kg, 氮氧化物為0.042 kg, 煙塵為0.011 kg。
年減排SO2:29.26 tce/a×0.08 kg=2.34 t;
年減排NOX:29.26 tce/a×0.042 kg=1.23 t;
2 投資分析
2.1 總投資計算結果與分析
蒸汽直埋技術總投資包含保溫材料費、土方開挖與填埋費、使用外套鋼管所產生的費用以及其它防腐、施工等費用[6]。因此, 在計算過程中需要考慮各項目之間的關聯性。以350℃下1 kmDN250的管道為例, 計算兩個方案的材料用量及總投資額, 各方案的材料用量見表2。
根據江蘇省安裝工程和計價定額[7]可計算出:方案1的總投資為178.6萬元, 方案2的總投資為149.2萬元, 采用方案2比方案1可節約總造價29.4萬元。
2.2 納米氣凝膠氈使用量對總投資額的影響
采用納米氣凝膠氈之后, 蒸汽直埋保溫技術的總投資有所下降, 是不是就意味著越多的使用納米氣凝膠氈總投資就越低呢?因此, 對納米氣凝膠氈的使用量對總投資額的影響做進一步的研究。
由表3可知:
1) 0層采用納米氣凝膠氈氈材料時工程總投資為178.67萬元, 1層采用納米氣凝膠氈氈材料時工程總投資為168.7萬元, 2層采用納米氣凝膠氈氈材料時工程總投資為149.2萬元, 初期工程總投資隨著納米氣凝膠氈氈用量的增加而減少, 原因是納米氣凝膠氈氈用量增加, 所需外套鋼管規格減小, 從而減少了鋼材使用量、土方開挖和填埋的工作量、氣泡膜的使用量及防腐面積, 這一系列的影響, 勢必會使工程總投資下降。
2) 但是, 在3層采用納米氣凝膠氈氈材料時的工程總投資為159.6萬元, 對比方案3和方案4不難發現, 納米氣凝膠氈氈使用量增加時外護鋼管規格并沒有發生改變, 鋼材使用量、土方量、氣泡膜使用量、防腐面積等均不變, 而反射層的使用量反而增加了, 造成工程總投資增加。
表2 各方案的材料用量

表3 納米氣凝膠氈使用量對總投資額的影響

3) 這就要求項目設計人員在進行前期設計時, 應當充分考慮納米氣凝膠氈氈材料的使用量對工程總投資的影響, 并根據不同管徑、不同溫度工況分別進行計算, 在滿足保溫要求的同時, 設計出較經濟的保溫方案。
2.3 敏感性分析
考慮到納米氣凝膠氈的價格和鋼材價格是對蒸汽管直埋總投資影響較大的兩個關鍵因素, 現分析這兩種材料價格對總投資的敏感性, 敏感性分析見表4。
由表4可知:
1) 鋼材價格每升高1%, 總投資額升高0.651%;納米氣凝膠氈價格每升高1%, 總投資額升高0.049%。由此可以看出, 鋼材價格才是影響蒸汽直埋總投資的主要因素;
2) 現如今鋼材價格日趨升高, 減少鋼材使用量是控制投資總額的關鍵, 如果增加一層納米氣凝膠氈能夠將外套管縮小一到兩個規格, 對控制總投資額是有利的。
3 結語
1) 將納米氣凝膠氈應用在直埋蒸汽管保溫技術中, 可減少保溫層總厚度, 降低每公里的熱傳輸損失, 并可實現每公里每年節約標煤30 t。同時, 還可減少硫化物及氮氧化物的排放, 在一定程度上保護了環境, 減少霧霾的發生;
2) 將納米氣凝膠氈應用在直埋蒸汽管保溫技術中, 可以降低保溫材料使用量, 縮小外套鋼規格, 減少土方開挖與填埋相關工程量, 對減少總投資是有利的。隨著環保節能政策的提出和市容規劃要求的不斷提高, 蒸汽管直埋技術將會成為今后區域集中供熱的熱介質輸送的主要方式。
表4 敏感性分析

蒸汽管道直埋敷設技術是在架空敷設與地溝敷設基礎上發展起來的一種新的管道敷設方式。一般采用鋼套鋼結構中間敷設保溫層, 將此高溫蒸汽管道直埋敷設。該技術應用在熱電聯產、集中供熱領域具有不影響市容、占地面積小和環境污染小等優點。但就目前而言, 該技術還不夠完善, 原因是蒸汽管直埋技術投資費用高 (是同等條件下架空敷設的兩倍) 、保溫及防腐措施不夠成熟。直埋管常用的保溫材料為巖棉、硅酸鈣、硅酸鋁、玻璃棉等, 這些材料本身過于松軟, 長期作用于管道會隨著管道振動而滑落, 造成工作管頂部60o范圍內保溫層變薄, 大量熱量從此處散失。另外, 在工程實際應用中外套管在溫度應力作用下會發生開裂, 進水非常普遍, 致使內部保溫材料吸水喪失保溫性能[3]。因此, 尋找一種新型保溫材料顯得尤為重要。納米氣凝膠氈是一種整體疏水性保溫材料, 長期可耐800℃高溫, 常溫下導熱系數為0.018 W/ (m·k) (是同等溫度條件下硅酸鋁的一半) , 但由于其高額的成本, 僅在國內一些架空項目中有小范圍應用。鑒于蒸汽直埋保溫技術的特殊復雜性, 決定用納米氣凝膠氈代替傳統硅酸鋁針刺毯應用在蒸汽直埋保溫管中, 研究其對節能量及工程總投資的影響。
1 節能分析
1.1 熱損失計算原理
直埋保溫管熱損失計算原理:

式中, q為單位長度熱損失, W/m;qi為通過第i層保溫材料單位長度的熱損失, W/m;λi為第i層保溫材料在平均溫度下的導熱系數, W/ (m·k) ;λg為當量埋深處土壤的導熱系數, W/ (m·k) ;ti為第i層材料外表面溫度, ℃;ti-1為第i-1層材料外表面溫度, ℃;tw為保溫管外表面溫度, ℃;ts為管中心深處土壤溫度, ℃;Di為第i層材料保溫外徑, m;Di-1為第i-1層材料保溫外徑, m;Dw為較外層保溫層外徑, m;HL為管道當量埋深, m;當;H為管中心埋深, m;H=較小覆土深度+0.5 Dw。
1.2 熱損失計算
計算的蒸汽溫度為350℃, 管道選用DN250管, 滿足管道表面溫度小于50℃, 滿足兩種保溫材料層間溫度≤280℃ (規范規定[5]:玻璃棉較高溫度為350℃, 這里取0.8的安全系數) 。根據CJJ/T104-2014《城鎮供熱直埋蒸汽管道技術規程》中對不同管徑下較小覆土深度要求, 蒸汽管中心深處土壤溫度取為10℃, 土壤導熱系數為1.5 W/ (m·k) 。計算保溫厚度及熱損失量。方案1:硅酸鋁+玻璃棉;方案2:納米氣凝膠氈+玻璃棉。保溫厚度及熱損失量見表1。
表1 保溫厚度及熱損失量

1.3 節能量分析
DN250的蒸汽管道常年運行, 若年運行時間按8 000 h計算, 則改造后每公里的節能量q為: (165.13-135.38) W/m·k×1 000×8 000 h×3 600=857 GJ/a, 即:每年可以節約857 GJ的能量。按照燃燒每公斤標煤可釋放29 271 000 J能量計算, 每年可節約標煤8.57×1 011 J÷29 271 000 J÷1 000=29.26 t/a。
按照每噸標煤700元的價格, 每年可節約29.26 t/a×700/10 000=2.048萬元。
根據國家發改委有關火力發電廠耗煤數據:每燃燒1kg標準煤, 產生CO2為2.62 kg, SO2為0.08 kg, 氮氧化物為0.042 kg, 煙塵為0.011 kg。
年減排SO2:29.26 tce/a×0.08 kg=2.34 t;
年減排NOX:29.26 tce/a×0.042 kg=1.23 t;
2 投資分析
2.1 總投資計算結果與分析
蒸汽直埋技術總投資包含保溫材料費、土方開挖與填埋費、使用外套鋼管所產生的費用以及其它防腐、施工等費用[6]。因此, 在計算過程中需要考慮各項目之間的關聯性。以350℃下1 kmDN250的管道為例, 計算兩個方案的材料用量及總投資額, 各方案的材料用量見表2。
根據江蘇省安裝工程和計價定額[7]可計算出:方案1的總投資為178.6萬元, 方案2的總投資為149.2萬元, 采用方案2比方案1可節約總造價29.4萬元。
2.2 納米氣凝膠氈使用量對總投資額的影響
采用納米氣凝膠氈之后, 蒸汽直埋保溫技術的總投資有所下降, 是不是就意味著越多的使用納米氣凝膠氈總投資就越低呢?因此, 對納米氣凝膠氈的使用量對總投資額的影響做進一步的研究。
由表3可知:
1) 0層采用納米氣凝膠氈氈材料時工程總投資為178.67萬元, 1層采用納米氣凝膠氈氈材料時工程總投資為168.7萬元, 2層采用納米氣凝膠氈氈材料時工程總投資為149.2萬元, 初期工程總投資隨著納米氣凝膠氈氈用量的增加而減少, 原因是納米氣凝膠氈氈用量增加, 所需外套鋼管規格減小, 從而減少了鋼材使用量、土方開挖和填埋的工作量、氣泡膜的使用量及防腐面積, 這一系列的影響, 勢必會使工程總投資下降。
2) 但是, 在3層采用納米氣凝膠氈氈材料時的工程總投資為159.6萬元, 對比方案3和方案4不難發現, 納米氣凝膠氈氈使用量增加時外護鋼管規格并沒有發生改變, 鋼材使用量、土方量、氣泡膜使用量、防腐面積等均不變, 而反射層的使用量反而增加了, 造成工程總投資增加。
表2 各方案的材料用量

表3 納米氣凝膠氈使用量對總投資額的影響

3) 這就要求項目設計人員在進行前期設計時, 應當充分考慮納米氣凝膠氈氈材料的使用量對工程總投資的影響, 并根據不同管徑、不同溫度工況分別進行計算, 在滿足保溫要求的同時, 設計出較經濟的保溫方案。
2.3 敏感性分析
考慮到納米氣凝膠氈的價格和鋼材價格是對蒸汽管直埋總投資影響較大的兩個關鍵因素, 現分析這兩種材料價格對總投資的敏感性, 敏感性分析見表4。
由表4可知:
1) 鋼材價格每升高1%, 總投資額升高0.651%;納米氣凝膠氈價格每升高1%, 總投資額升高0.049%。由此可以看出, 鋼材價格才是影響蒸汽直埋總投資的主要因素;
2) 現如今鋼材價格日趨升高, 減少鋼材使用量是控制投資總額的關鍵, 如果增加一層納米氣凝膠氈能夠將外套管縮小一到兩個規格, 對控制總投資額是有利的。
3 結語
1) 將納米氣凝膠氈應用在直埋蒸汽管保溫技術中, 可減少保溫層總厚度, 降低每公里的熱傳輸損失, 并可實現每公里每年節約標煤30 t。同時, 還可減少硫化物及氮氧化物的排放, 在一定程度上保護了環境, 減少霧霾的發生;
2) 將納米氣凝膠氈應用在直埋蒸汽管保溫技術中, 可以降低保溫材料使用量, 縮小外套鋼規格, 減少土方開挖與填埋相關工程量, 對減少總投資是有利的。隨著環保節能政策的提出和市容規劃要求的不斷提高, 蒸汽管直埋技術將會成為今后區域集中供熱的熱介質輸送的主要方式。
表4 敏感性分析

同類文章排行
- 鋼包采用納米隔熱板作為隔熱層的優勢
- 納米氣凝膠氈的六大優異性能特點
- 納米隔熱板與其他隔熱材料的隔熱效果比較
- 納米氣凝膠氈在設施農業中的應用
- 納米隔熱板在鋼鐵行業的具體應用
- 納米絕熱板的使用注意事項
- 納米隔熱板大幅度減少隔熱層厚度,為設備提供更大的空間容量
- 納米隔熱板的保存及安裝方法
- 納米絕熱板,有效減少熱量損失
- 納米隔熱板的隔熱機理
最新資訊文章
- 納米隔熱板安裝指南:從選材到施工
- 納米氣凝膠氈:革新隔熱材料的前沿科技
- 納米微孔絕熱卷材的市場趨勢與投資機會
- 建筑保溫革命:納米微孔絕熱卷材的應用潛力
- 納米微孔絕熱卷材:引領隔熱技術的未來
- 納米隔熱板和納米絕熱板是同一個產品嗎?
- 如何測量納米氣凝膠氈的導熱系數
- 氣凝膠絕熱氈的種類及其應用
- 氣凝膠隔熱氈在冷鏈中的應用
- 納米氣凝膠氈的制備方法:探索與創新
聯系我們
咨詢熱線:
139-533-88960
固話:0533-2266502
郵箱:26124109@qq.com
地址:山東省淄博市高新技術開發區






